BN层¶
Batch Normalization是由google提出的一种训练优化方法。
论文名字:Batch Normalization: Accelerating Deep Network Training by Reducing Internal Covariate Shift
论文地址:https://arxiv.org/abs/1502.03167
网上对BN解释详细的不多,大多从原理上解释,没有说出实际使用的过程,这里从what, why, how三个角度去解释BN。
What is BN¶
Normalization是数据标准化(归一化,规范化),Batch 可以理解为批量,加起来就是批量标准化。 先说Batch是怎么确定的。在CNN中,Batch就是训练网络所设定的图片数量batch_size。
Normalization过程,引用论文中的解释:

输入:输入数据x1…xm(这些数据是准备进入激活函数的数据) 计算过程中可以看到, 1.求数据均值 2.求数据方差 3.数据进行标准化(个人认为称作正态化也可以) 4.训练参数γ,β 5.输出y通过γ与β的线性变换得到新的值
在正向传播的时候,通过可学习的γ与β参数求出新的分布值
在反向传播的时候,通过链式求导方式,求出γ与β以及相关权值

Why is BN¶
解决的问题是梯度消失与梯度爆炸。
关于梯度消失,以sigmoid函数为例子,sigmoid函数使得输出在[0,1]之间。

事实上x到了一定大小,经过sigmoid函数的输出范围就很小了,参考下图

如果输入很大,其对应的斜率就很小,我们知道,其斜率(梯度)在反向传播中是权值学习速率。所以就会出现如下的问题,

在深度网络中,如果网络的激活输出很大,其梯度就很小,学习速率就很慢。假设每层学习梯度都小于最大值0.25,网络有n层,因为链式求导的原因,第一层的梯度小于0.25的n次方,所以学习速率就慢,对于最后一层只需对自身求导1次,梯度就大,学习速率就快。 这会造成的影响是在一个很大的深度网络中,浅层基本不学习,权值变化小,后面几层一直在学习,结果就是,后面几层基本可以表示整个网络,失去了深度的意义。
关于梯度爆炸,根据链式求导法,第一层偏移量的梯度=激活层斜率1x权值1x激活层斜率2x…激活层斜率(n-1)x权值(n-1)x激活层斜率n。
假如激活层斜率均为最大值0.25,所有层的权值为100,这样梯度就会指数增加。
How to use BN¶
先解释一下对于图片卷积是如何使用BN层。

这是文章卷积神经网络CNN(1)中5x5的图片通过valid卷积得到的3x3特征图(粉红色)。这里假设通道数为1,batch为4,即大小为[4,1,3,3] (n,c,h,w)。特征图里的值,作为BN的输入,这里简化输出只有一个channel,也就是这一个4x3x3个数值通过BN计算并保存均值与方差,并通过当前均值与方差计算归一化的值,最后根据γ,β以及归一化得值计算BN层输出。
这里需要着重说明的细节:
网络训练中以batch_size为最小单位不断迭代,很显然,新的batch_size进入网络,由于每一次的batch有差异,实际是通过变量,以及滑动平均来记录均值与方差。训练完成后,推断阶段时通过γ, β,以及记录的均值与方差计算bn层输出。
结合论文中给出的使用过程进行解释

输入:待进入激活函数的变量
输出:
-
对于K个激活函数前的输入,所以需要K个循环。每个循环中按照上面所介绍的方法计算均值与方差。通过γ,β与输入x的变换求出BN层输出。
-
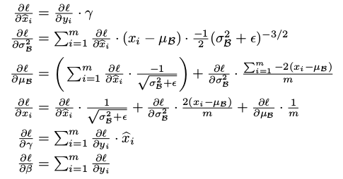
在反向传播时利用γ与β求得梯度从而改变训练权值(变量)。
-
通过不断迭代直到训练结束,得到γ与β,以及记录的均值方差。
-
在预测的正向传播时,使用训练时最后得到的γ与β,以及均值与方差的无偏估计,通过图中11:所表示的公式计算BN层输出。