学习性能评价指标¶
| 机器学习分类 | 性能指标 | 
|---|---|
| 分类 | Accuracy、precision、Recall、F1 Score、ROC Curve、PR Curve、AUC、混淆矩阵 | 
| 回归 | MAE、MSE、RMSE | 
回归¶
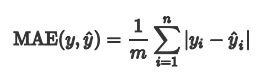
平均绝对误差MAE¶
平均绝对误差MAE(Mean Absolute Error)又被称为 L1范数损失。

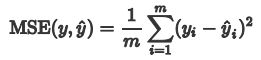
均方误差MSE¶
均方误差MSE(Mean Squared Error)又被称为 L2范数损失。

均方根误差RMSE¶

标准差SD¶
分类¶
准确度ACC¶

查准率Prec¶

召回率Recall¶

F1测量值¶

ROC¶
这里不赘述ROC的一些细节,参考ROC和AUC介绍以及如何计算AUC

PR¶
AUC¶
AUC 是 ROC (Receiver Operating Characteristic) 曲线以下的面积, 介于0.1和1之间。Auc作为数值可以直观的评价分类器的好坏,值越大越好。
混淆矩阵¶
